Oregon’s Medicaid accountable care organizations led to reductions in preventable hospital admissions, especially unscheduled admissions, among female beneficiaries aged 15 to 44 years.
ABSTRACT
Objectives: To examine the impact of coordinated care organizations (CCOs), Oregon’s Medicaid accountable care organizations, on hospitalization by admission source among female Medicaid beneficiaries of reproductive age.
Study Design: We employed a difference-in-differences (DID) approach, capitalizing on the fact that CCO enrollment was generally mandatory whereas some Medicaid beneficiaries were exempt.
Methods: We used 2011-2013 Oregon Medicaid eligibility files linked to hospital discharge data and birth certificates. We constructed person-month panel data on 86,012 women aged 15 to 44 years (N = 2,705,543 observations) who were continuously enrolled in Oregon Medicaid. Outcomes included total and preventable hospital admissions. We also examined admissions separately by source, including scheduled and unscheduled admissions, as well as admissions through the emergency department. We estimated a fixed-effects multivariate DID model that compared a change in each outcome before and after CCO enrollment for CCO-enrolled Medicaid beneficiaries with a pre—post change for other Medicaid beneficiaries not enrolled in CCOs throughout the study period.
Results: Hospitalization rates decreased overall for female Medicaid beneficiaries enrolled in CCO and also for non-CCO enrollees, whereas the proportions of unscheduled and preventable admissions increased for both Medicaid subgroups. CCO enrollment was significantly associated with a decline of one-fourth from the pre-CCO average in the probability of all-source preventable hospitalization, largely due to a decline in unscheduled preventable admissions.
Conclusions: CCO led to reductions in hospital admissions, especially preventable admissions, among female Medicaid beneficiaries of reproductive age in Oregon. Findings, if replicated, may imply that the accountable care delivery model implemented in Oregon Medicaid promotes efficient resource utilization.
Am J Manag Care. 2019;25(10):e296-e303Takeaway Points
Because access to adequate primary care can reduce hospitalizations for ambulatory care—sensitive conditions, delivery systems that incentivize primary care and better coordination among providers may prevent unscheduled, avoidable hospital admissions. Findings of this study show that:
Although it is well documented that hospital admissions represent the largest share (32.3%) of US healthcare expenditures1 and continue to grow every year,2 a rapidly changing mix of admission sources has received less attention. Between 2003 and 2009, scheduled (elective) admissions remained stable, whereas unscheduled (nonelective) admissions grew from 25.3 million to 26.7 million (a 5.3% increase), accounting for most of the growth in total admissions during that period.2 In particular, the emergency department (ED) has become the primary gateway to inpatient care. Hospital admissions originating from the ED increased by 50% between 1993 and 20063 and now account for approximately half of all admissions.4 This increase in ED-originated admissions offset declines in scheduled admissions from physician offices and clinics.2
Increasing rates of unscheduled admissions, especially through the ED, reflect inefficiency and fragmentation in the healthcare system.5 For example, some data suggest that the ED is increasingly becoming the venue for evaluation and treatment of complex patients with potentially serious problems.4,6 Other research has reported that primary care physicians who face difficulties in admitting their patients due to high occupancy often turn to the ED as a portal for unscheduled admissions.2,7 Because access to adequate primary care can reduce preventable hospitalizations for ambulatory care—sensitive conditions,8 delivery systems that incentivize primary care and better coordination among providers may prevent unscheduled, avoidable hospital admissions.
Oregon’s Medicaid program recently transformed its care delivery system to improve fiscal soundness and promote coordinated care,9,10 offering a unique opportunity to test a comprehensive accountable care model. The transformation is centered around 16 coordinated care organizations (CCOs), each of which is a geographically focused network of healthcare providers that receives a global budget to provide medical, mental health, and oral health care to assigned Medicaid enrollees.10 To ensure quality, CCOs must participate in a pay-for-performance program that rewards each CCO’s performance on 17 performance measures in multiple domains, including primary care, chronic disease management, prevention, and ED utilization.11
Eight CCOs began enrolling members in August 2012, and 7 more became operational by the end of that year; the last CCO began operation in 2013 (eAppendix Figure 1 [eAppendix available at ajmc.com]). More than 90% of Oregon Medicaid beneficiaries are now enrolled in CCOs and most are automatically assigned to the CCO covering their residential zip code.10 Some subgroups are exempt from CCO enrollment, including dual-eligible individuals, pregnant women in their third trimester at enrollment, individuals receiving medical home care services or living in areas not served by a CCO, and noncitizens eligible only for labor and delivery or emergency services.12
Several core characteristics of the CCO model could be particularly effective in reducing preventable hospitalizations. These features include mandatory enrollment in a geographically defined provider network; emphasis on patient-centered primary care homes; close monitoring of high-risk patients; care coordination; required integration of medical, behavioral, and dental health care; a global budget; and incentives for quality improvement and provider accountability.10 Aggregate data show that, during the 2013 post-CCO period compared with the 2011 baseline, there were decreases in all-cause hospital readmissions and ED utilization rates, as well as increases in primary care visits and enrollment in primary care homes.13 However, there is little evidence about the impact of CCOs on hospital admissions, and existing studies have reported inconsistent results. An analysis of Oregon Medicaid 2010-2014 claims data, using Colorado Medicaid as a comparison, found a statistically significant increase in inpatient days after CCO implementation in Oregon.14 In contrast, another study that analyzed the same Oregon Medicaid data but used Washington Medicaid as a comparison found the opposite result, reporting a significant decline in inpatient days after the CCO implementation.15 The inconsistency might be attributable not to CCOs but, rather, to other contemporaneous changes, such as nationwide decreases in Medicaid enrollees’ healthcare utilization or Medicaid program changes in the comparison states. Additionally, neither of these previous studies investigated the sources of hospital admissions.
The present study was conducted as part of a larger project that examines the impact of CCO implementation and Medicaid expansion on care utilization and the health outcomes of Oregon women of reproductive age (15-44 years). Specifically, we investigated whether CCOs led to changes in hospital admissions among female Medicaid beneficiaries aged 15 to 44 years. Using a unique data set that linked Oregon Medicaid, hospital discharge, and birth certificate data for 2011-2013, we examined changes in hospital admissions by source following the implementation of CCOs. We also examined preventable hospitalizations due to ambulatory care—sensitive conditions, as defined by the prevention quality indicators (PQIs) for hospital discharges.16
METHODS
Data Sources and Study Population
Medicaid eligibility records retrieved from the Medicaid Management Information System included 251,113 women aged 15 to 44 years enrolled in Oregon Medicaid between 2011 and 2013. The Medicaid data were individually linked to Oregon hospital discharge data to obtain information on hospitalizations and admission sources, and they were augmented with pregnancy status from Oregon birth certificates. Rural—Urban Commuting Area (RUCA) codes were assigned using residential zip codes.17
We created a panel data set with up to 36-month observations per person. The main analytic sample included 2,705,543 observations on 86,012 women continuously enrolled in Medicaid, defined as being enrolled for at least 90% of the study period (ie, 986 days). Approximately 84% of that sample (71,967 women) were enrolled in CCOs during the study period.
Outcomes
Hospitalization outcomes included binary variables of total hospital admissions for all admission sources combined, as well as separately by admission source (ie, scheduled or unscheduled). Scheduled admissions included all elective hospitalizations. Unscheduled admissions included all nonelective hospitalizations, such as transfers from other hospitals, direct admissions from outpatient providers, and admissions through the ED. We also examined unscheduled ED admissions separately.
We used the PQIs16 to identify preventable hospitalizations for acute and chronic ambulatory care—sensitive conditions separately for all hospitalization outcomes. PQIs were developed by the Agency for Healthcare Research and Quality for use with hospital discharge data. They have been employed to monitor the quality of outpatient care, early intervention, and prevention that can avoid hospitalizations due to complications or more severe disease.18
Analytic Approach
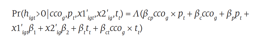
We measured the effect of CCOs on hospitalizations using the difference-in-differences (DID) approach. Identification of the effect came from 2 sources: (1) Only Medicaid beneficiaries mandatorily enrolled in CCOs during the post-CCO era were influenced by the CCO implementation, and (2) there was some variation in CCO startup dates. Our benchmark empirical specification is as follows:

where Λ is the cumulative logistic distribution, i denotes a woman, g is an individual CCO, t indexes a month, and the βs are coefficients to be estimated. We modeled binary hospitalization variables specified in higt as a function of the policy-group indicator (ccog), the post-CCO period indicator (pt), and the interaction term of the policy-group and post-CCO period indicators (ccog × pt), as well as covariates. The policy-group indicator identifies women continuously enrolled in Medicaid who were either enrolled in a CCO or were not and thereby adjusts for baseline heterogeneity between the policy and reference groups. The post-CCO indicator identifies CCO-specific postimplementation periods, adjusting for an average pre—post trend in hospitalization. The coefficient on the interaction term (βcp) is our main interest, as it measures an additional change in the outcome attributable to CCO enrollment.
We controlled for time-varying covariates (x1'igt), such as age, pregnancy status, and rurality (using RUCA codes), as well as time-invariant covariates (x2'ig), such as race and Hispanic ethnicity. Aggregate data showed that both the policy and reference groups had similar trends in all outcomes (eAppendix Figure 2). We also specified the linear time trend (tt) and its interaction with CCO enrollment (ccog × tt) to additionally capture unspecified factors that might affect the outcomes separately for the policy and reference groups.
We obtained maximum-likelihood logit estimators for the benchmark specification. Standard errors were adjusted for intracluster correlation at the person level. To gauge the magnitude of the CCO effect, we computed average marginal effects as the average change in predicted probabilities of hospitalization from the pre- to post-CCO periods, as the value of the policy-group indicator changes from 0 to 1, while evaluating all other variables at the observed values.19,20 We constructed 95% CIs of the average marginal effects using bootstrap standard errors based on 200 repetitions.
The estimated effect of CCO implementation in the benchmark empirical model could be biased if the policy-group indicator does not sufficiently capture unobserved person characteristics that influence hospitalizations in the policy and reference groups differently. For example, having severe chronic conditions may influence both CCO enrollment and hospitalization. We therefore extended the benchmark specification by replacing the policy-group indicator with person fixed effects:

where ai refers to unobserved person heterogeneity.
We obtained conditional fixed-effects logit estimates. Although the fixed-effects model has a further advantage of not assuming that time-invariant person-specific characteristics are uncorrelated with the covariates, an average marginal effect cannot be obtained because fixed-effects coefficients are not actually estimated and zero fixed effects should be assumed to compute predicted probabilities. Therefore, we obtained marginal effects via fixed-effects linear probability models. Predicted probabilities ranged from 0.0031 to 0.0087. We also confirmed that our results from the fixed-effects linear probability model were qualitatively consistent with those from conditional fixed-effects logit models.
RESULTS
Characteristics of the Study Population
As shown in Table 1, the person-month probability of all-source total hospital admissions among women aged 15 to 44 years who were continuously enrolled in Oregon Medicaid between 2011 and 2013 was 0.91%, of which more than half (0.58%) were unscheduled admissions. The ED accounted for more than one-third of all-source admissions (0.33%), and approximately 99% of ED admissions were unscheduled (data not shown). About one-third (0.30% of the 0.91%) of all-source admissions were preventable based on the PQIs, and about three-fourths of these admissions (0.24% of the 0.30%) were unscheduled. These patterns were consistent for both CCO and non-CCO enrollees. Although CCO enrollees were, on average, slightly more likely to experience all-source hospitalizations, they were less likely to have hospital admissions that were unscheduled, through the ED, or preventable.
Eighty-three percent of women in the analytic sample were enrolled in CCOs during the post-CCO period. Fifty-three percent of person-month observations covered the pre-CCO period and 47% covered the post-CCO period; approximately 5% of observations were for pregnancy or birth. The average age of the women in the entire sample was 27.5 years. Nineteen percent were Hispanic. The majority of the sample was white (88%), followed by black (4.9%), Asian/Native Hawaiian/Pacific Islander (2.8%), and American Indian (2.2%). Most women in the sample lived in urban areas (83%). There were no significantly discernable differences in the demographic characteristics between CCO and non-CCO enrollees, except that 13% of CCO enrollees were Hispanic compared with 47% of non-CCO enrollees.
A time series of hospital admissions shows that the person-month probability of all-source total hospital admissions decreased over the 2011-2013 study period—regardless of admission source and whether preventable or not—and the rate of the decline was similar between CCO and non-CCO enrollees (eAppendix Figure 2). In comparison, whereas the proportion of admissions that were scheduled decreased gradually for both CCO and non-CCO enrollees, the proportions of unscheduled admissions, ED-originated unscheduled admissions, and preventable admissions increased over the study period (eAppendix Figure 3).
Effect of CCOs on Hospitalization
Table 2 presents coefficients from the benchmark logit models. Of primary interest is the coefficient on the interaction term of the CCO enrollment and post-CCO period indicators. This coefficient had a negative sign in 7 of the 8 models. It was always negative for the preventable hospitalization outcomes and statistically significant for all-source preventable admissions and unscheduled preventable admissions. Results on the other covariates were reasonable. For example, the probability of hospitalization increased during pregnancy and with age.
Conditional fixed-effects logit estimates show that the coefficient on the main interaction term was negative in all conditional fixed-effects logit models and statistically significant for all-source preventable admissions and unscheduled preventable admissions (Table 3). Although not at the conventional level of significance, it was significant at the 90% level for unscheduled total admissions and unscheduled ED-originated preventable admissions. Therefore, the results reported in Tables 2 and 3 overall suggest a decline in preventable hospitalizations for CCO enrollees, although coefficients on the interaction term in the nonlinear models might be misleading in sign or magnitude.19
To help quantify the magnitude of the effect of CCO on hospitalization, panel A of Table 4 reports average marginal effects (expressed as percentage-point changes) from the benchmark model, as well as 95% bootstrap CIs. Again, the marginal effect was negative in 7 of 8 models and statistically significant for all-source preventable admissions (at the 95% level) and unscheduled preventable admissions (at the 90% level). That is, CCO enrollment was associated with a decrease of 0.13 percentage point in the person-month probability of all-source preventable hospitalization (a drop of approximately one-third from the pre-CCO average of 0.40%) and a decrease of 0.11 percentage point in unscheduled preventable hospitalizations. The average marginal effects from the logit models were similar to marginal effects from linear probability models (eAppendix Table 1).
Results from the fixed-effects models reinforce these findings (Table 4, panel B). The marginal effect of CCO was always negative for the preventable hospitalization outcomes. It was statistically significant for all-source preventable admissions and for unscheduled preventable admissions, although the decreases were slightly smaller than those from the benchmark model specification. CCO enrollment was associated with a decline of 0.10 percentage point in the person-month probability of all-source preventable hospitalizations (roughly one-fourth of the pre-CCO average) and a decline of 0.08 percentage point in unscheduled preventable hospitalizations. Full results are available in eAppendix Table 2.
Sensitivity Analysis
As shown in Table 5, we performed falsification analyses to formally test whether the control group satisfies the common trend assumption central to a DID framework. We checked whether there was a difference in time trends between CCO and non-CCO enrollees using the subsample of the pre-CCO period. We did this by examining the coefficient on the interaction term of the linear time trend and CCO enrollment indicator. The coefficient on the interaction term was small in magnitude (with marginal effects ranging from changes of −0.015 to 0.004 percentage point) and also statistically insignificant except for all-source total admissions and scheduled admissions. Additionally, we tested the effect of a placebo policy of 8-month leads of CCO enrollment (at about the midpoint of the pre-CCO period) using the subsample of the pre-CCO period. Under the common time trends assumption, the false CCO enrollment should have no effect on the outcomes, with marginal effects ranging from changes of −0.041 to 0.013 percentage point. No significant effect of the placebo CCO enrollment was found.
We tested whether our results were sensitive to different thresholds for inclusion in the study sample, using the most restrictive condition of enrollment in Medicaid for 100% of the study period, as well as a less restrictive 80% condition, compared with the baseline 90%. We also checked for a possible seasonal effect by including additional month indicators. In all scenarios, our main findings remained robust.
DISCUSSION
We analyzed linked data sets of Medicaid claims and hospital discharges to determine whether an accountable care organization (ACO) model implemented in Oregon Medicaid affected hospitalizations among women of reproductive age. Significant decreases in preventable hospitalizations were observed, consistent with expectations about the effect of this new financing and care delivery model.
ACOs are integrated provider networks that coordinate care and accept collective responsibility for the quality and cost of care.21 Despite facing challenges in meeting these goals,22 the number of ACOs continues to grow, with approximately 23.5 million individuals covered by ACOs in early 2015 and more than 70 million expected to be covered by 2020.23 Although ACOs initially focused on Medicare beneficiaries under the Affordable Care Act, commercial insurers and state Medicaid programs are exploring comparable approaches.24,25 By February 2018, 12 states had implemented ACO models in their Medicaid programs, and an additional 10 states were considering launching them.26 Although Medicaid ACOs differ in organization and structure across states,25 they share the value-oriented paradigm of aligning provider incentives to value instead of volume, coordinating care, and reducing inappropriate utilization.27
Some promising early findings about Medicaid ACO models have been reported. For example, Colorado’s Accountable Care Collaboratives (ACCs), which enrolled approximately 70% of all Colorado Medicaid beneficiaries, reported net savings of $37 million in fiscal year 2014-2015,28 up from $6 million in fiscal year 2012-2013.29 Beneficiaries enrolled in ACCs had lower rates of ED visits and hospital readmissions compared with those not enrolled in ACCs.28 In Oregon, the rate of ED utilization among CCO enrollees has dropped every year, decreasing by 23% from 61 visits per 1000 member-months in 2011 to 47 in 2014.30 Decreases in hospital admissions and inpatient days following CCO implementation have also been reported,13,15 despite some conflicting evidence.14
Our findings add to this body of promising evidence, indicating that Oregon’s unique Medicaid ACO model, on average, led to reductions in hospital admissions among women of reproductive age during the early phase of its implementation. In particular, we found significant decreases in preventable hospital admissions, especially those that were unscheduled. We therefore believe that CCOs may help prevent unnecessary admissions due to ambulatory care—sensitive conditions among Oregon women aged 15 to 44 years, as is consistent with the incentives that they provide to coordinate care, emphasize primary care, and meet global budgets tied to quality improvement targets. If replicated, our findings may speak to a greater efficiency that the new healthcare delivery model introduces.
Our findings may appear to contrast with those of Morganti et al,2 who found no significant difference in ED admissions among Medicare + Choice patients compared with patients in traditional fee-for-service Medicare, whereas we consistently found that CCOs reduced admissions through the ED. We believe that several features of Oregon’s CCO model—such as risk-adjusted global payment, mandatory enrollment of Medicaid beneficiaries, and emphasis on primary care and prevention through team-based patient-centered medical homes—provide much stronger incentives than usual managed care arrangements for reducing hospitalizations and ED utilization without sacrificing quality.
Limitations
Some limitations are noteworthy. First, the effect of CCO implementation might spill over to Medicaid beneficiaries not enrolled in CCOs by influencing the overall behaviors of healthcare providers. Any such spillover effect would bias our results toward zero, thereby underestimating the actual effects of CCOs. Second, our results pertain only to female Medicaid beneficiaries aged 15 to 44 years, who make up approximately 64% of Oregon Medicaid enrollees,31 and therefore should be generalized with caution. Although we believe that the CCO model can provide the same incentives to providers regardless of the gender and age of its enrollees, future research may benefit from studying a broader Medicaid population, as well as its subgroups.
CONCLUSIONS
CCOs, an ACO model implemented in Oregon Medicaid, led to a decrease in preventable hospital admissions among female Medicaid enrollees of reproductive age in Oregon. Therefore, the Oregon Medicaid ACO model, which emphasizes primary care and care coordination aligned with strong financial incentives, may promote more efficient utilization of resources in the healthcare system.Author Affiliations: College of Public Health and Human Sciences, Oregon State University (JY, LPO, JL, SMH), Corvallis, OR; Epidemic Intelligence Services, CDC (LPO), Pasadena, CA.
Source of Funding: National Center for Chronic Disease Prevention and Health Promotion of the CDC under Award No. 1U01DP004783-01. The content is solely the responsibility of the authors and does not necessarily represent the official views of the CDC.
Author Disclosures: The authors report no relationship or financial interest with any entity that would pose a conflict of interest with the subject matter of this article.
Authorship Information: Concept and design (JY); acquisition of data (JY, JL, SMH); analysis and interpretation of data (JY); drafting of the manuscript (JY, LPO); critical revision of the manuscript for important intellectual content (JY, LPO, JL, SMH); statistical analysis (JY); provision of patients or study materials (JY); obtaining funding (JY, JL, SMH); administrative, technical, or logistic support (JY, LPO, JL); and supervision (JY).
Address Correspondence to: Jangho Yoon, PhD, College of Public Health and Human Sciences, Oregon State University, 464 Waldo Hall, Corvallis, OR 97331. Email: jangho.yoon@oregonstate.edu.REFERENCES
1. National Center for Health Statistics. Health, United States, 2016: With Chartbook on Long-term Trends in Health. Hyattsville, MD: National Center for Health Statistics; 2017.
2. Morganti KG, Bauhoff S, Blanchard JC, et al. The evolving role of emergency departments in the United States. Rand Health Q. 2013;3(2):3.
3. Schuur JD, Venkatesh AK. The growing role of emergency departments in hospital admissions. N Engl J Med. 2012;367(5):391-393. doi: 10.1056/NEJMp1204431.
4. Pitts SR, Carrier ER, Rich EC, Kellermann AL. Where Americans get acute care: increasingly, it’s not at their doctor’s office. Health Aff (Millwood). 2010;29(9):1620-1629. doi: 10.1377/hlthaff.2009.1026.
5. 2013 National Healthcare Quality Report. Rockville, MD: Agency for Healthcare Research and Quality; 2014. archive.ahrq.gov/research/findings/nhqrdr/nhqr13/2013nhqr.pdf. Accessed August 12, 2018.
6. Tang N, Stein J, Hsia RY, Maselli JH, Gonzales R. Trends and characteristics of US emergency department visits, 1997-2007. JAMA. 2010;304(6):664-670. doi: 10.1001/jama.2010.1112.
7. Kocher KE, Dimick JB, Nallamothu BK. Changes in the source of unscheduled hospitalizations in the United States. Med Care. 2013;51(8):689-698. doi: 10.1097/MLR.0b013e3182992c7b.
8. Sanderson C, Dixon J. Conditions for which onset or hospital admission is potentially preventable by timely and effective ambulatory care. J Health Serv Res Policy. 2000;5(4):222-230. doi: 10.1177/135581960000500407.
9. McConnell KJ, Chang AM, Cohen DJ, et al. Oregon’s Medicaid transformation: an innovative approach to holding a health system accountable for spending growth. Healthc (Amst). 2014;2(3):163-167. doi: 10.1016/j.hjdsi.2013.11.002.
10. Howard SW, Bernell SL, Yoon J, Luck J, Ranit CM. Oregon’s experiment in health care delivery and payment reform: coordinated care organizations replacing managed care. J Health Polit Policy Law. 2015;40(1):245-255. doi: 10.1215/03616878-2854919.
11. CCO incentive measures since 2013. State of Oregon website. oregon.gov/oha/HPA/ANALYTICS/CCOMetrics/CCO-Incentive-Measures-history.pdf. Updated August 2019. Accessed September 17, 2019.
12. Oregon Revised Statutes ch 414, §631. Mandatory enrollment in coordinated care organization. oregonlegislature.gov/bills_laws/ors/ors414.html. Accessed August 18, 2017.
13. Oregon Health Authority. Oregon Health Plan: section 1115 quarterly report. State Library of Oregon website. library.state.or.us/repository/2013/201303220851555/2013-4.pdf. Accessed September 17, 2019.
14. McConnell KJ, Renfro S, Lindrooth RC, Cohen DJ, Wallace NT, Chernew ME. Oregon’s Medicaid reform and transition to global budgets were associated with reductions in expenditures. Health Aff (Millwood). 2017;36(3):451-459. doi: 10.1377/hlthaff.2016.1298.
15. McConnell KJ, Renfro S, Chan BK, et al. Early performance in Medicaid accountable care organizations: a comparison of Oregon and Colorado. JAMA Intern Med. 2017;177(4):538-545. doi: 10.1001/jamainternmed.2016.9098.
16. Prevention quality indicators technical specifications updates—version 6.0 (ICD-9). Agency for Healthcare Research and Quality website. qualityindicators.ahrq.gov/Modules/PQI_TechSpec_ICD09_v60.aspx. Published October 2016. Accessed August 12, 2018.
17. Rural-Urban Commuting Area Codes (RUCAs). University of Washington website. depts.washington.edu/uwruca. Accessed July 15, 2016.
18. AHRQ quality indicators. Agency for Healthcare Research and Quality website. qualityindicators.ahrq.gov. Accessed August 12, 2018.
19. Ai C, Norton EC. Interaction terms in logit and probit models. Econ Lett. 2003;80(1):123-129. doi: 10.1016/S0165-1765(03)00032-6.
20. Norton EC, Wang H, Ai C. Computing interaction effects and standard errors in logit and probit models. Stata J. 2004;4(2):154-167. doi: 10.1177/1536867X0400400206.
21. Fisher ES, McClellan MB, Bertko J, et al. Fostering accountable health care: moving forward in Medicare. Health Aff (Millwood). 2009;28(2):w219-w231. doi: 10.1377/hlthaff.28.2.w219.
22. Burns LR, Pauly MV. Accountable care organizations may have difficulty avoiding the failures of integrated delivery networks of the 1990s. Health Aff (Millwood). 2012;31(11):2407-2416. doi: 10.1377/hlthaff.2011.0675.
23. Muhlestein D. Growth and dispersion of accountable care organizations in 2015. Health Affairs Blog website. healthaffairs.org/do/10.1377/hblog20150331.045829/full. Published March 31, 2015. Accessed September 17, 2019.
24. McGinnis T, Small DM. Accountable care organizations in Medicaid: emerging practices to guide program design. Center for Health Care Strategies, Inc website. chcs.org/resource/accountable-care-organizations-in-medicaid-emerging-practices-to-guide-program-design. Published February 2012. Accessed August 15, 2018.
25. Dickson V. Reform update: states test Medicaid ACOs to cut costs. Modern Healthcare website. modernhealthcare.com/article/20140701/NEWS/307019965. Published July 1, 2014. Accessed July 28, 2014.
26. Medicaid accountable care organizations: state update. Center for Health Care Strategies, Inc website. chcs.org/media/ACO-Fact-Sheet-02-27-2018-1.pdf. Published February 2018. Accessed September 10, 2019.
27. State approaches for integrating behavioral health into Medicaid accountable care organizations. Center for Health Care Strategies, Inc website. chcs.org/media/ACO-LC-BH-Integration-TA_Final-9.22.pdf. Published September 2015. Accessed September 16, 2015.
28. Colorado Department of Health Care Policy and Financing. Supporting a culture of coverage: Accountable Care Collaborative: 2015 annual report. Mental Health America website. mhanational.org/sites/default/files/Denver%20Mental%20Health%20Accountable%20Care%20Collaborative%20Medicaid.pdf. Accessed September 10, 2019.
29. Legislative request for information #2: Accountable Care Collaborative. State of Colorado website. colorado.gov/pacific/sites/default/files/Accountable%20Care%20Collaborative%20Annual%20Report%202013.pdf. Published November 1, 2013. Accessed August 12, 2018.
30. Oregon Health Authority. Oregon’s health system transformation: 2014 final report. oregon.gov/oha/HPA/ANALYTICS/CCOMetrics/2014-CCO-Performance-Report.pdf. State of Oregon website. Published June 24, 2015. Accessed September 10, 2019.
31. Distribution of age, race and gender among clients on the Oregon Health Plan. State of Oregon website. oregon.gov/oha/HSD/OHP/DataReportsDocs/December%202013%20Distribution%20of%20Age,%20Race,%20Gender.pdf. Published December 15, 2013. Accessed March 20, 2015.

Quality of Life: The Pending Outcome in Idiopathic Pulmonary Fibrosis
February 6th 2026Because evidence gaps in idiopathic pulmonary fibrosis research hinder demonstration of antifibrotic therapies’ impact on patient quality of life (QOL), integrating validated health-related QOL measures into trials is urgently needed.
Read More
Infertility Coverage Boosts ART Use and Pregnancy Success: Richard A. Brook, MS, MBA
August 26th 2025In this episode, Richard A. Brook, MS, MBA, discusses his study showing that infertility treatment coverage increases assisted reproductive technology (ART) use and improves pregnancy outcomes.
Listen
Blister Packs May Help Solve Medication Adherence Challenges and Lower Health Care Costs
June 10th 2025Julia Lucaci, PharmD, MS, of Becton, Dickinson and Company, discusses the benefits of blister packaging for chronic medications, advocating for payer incentives to boost medication adherence and improve health outcomes.
Listen